• 4.1. Необходимость и задачи планирования персонала
  • 4.2. Принципы планирования персонала
  • 4.3. Основные элементы планирования персонала
  • 4.3.1. Анализ состава персонала
  • 4.3.2. Планирование потребности в персонале
  • 4.3.3. Планирование обеспечения персоналом
  • 4.3.4. Планирование использования персонала
  • 4.3.5. Планирование развития персонала
  • 4.3.6. Планирование высвобождения персонала
  • 4.3.7. Планирование затрат на персонал
  • 4.4. Методы планирования персонала
  • Вопросы и задания для самопроверки
  • Глава 4. Планирование персонала

    4.1. Необходимость и задачи планирования персонала

    Стратегия работы с персоналом должна быть воплощена в конкретные формы (кадровые программы, процедуры и т. д.). Этому способствует механизм кадрового планирования.

    Долгое время в управлении персоналом экономически развитых стран ориентировались в основном на текущие потребности организации: работодатель рассчитывал получить в любой момент необходимое количество работников, для использования которых не требуется длительной специальной подготовки. Избыточный рынок рабочей силы давал работодателям такую возможность, а увольнение избыточного персонала не было связано с большими финансовыми потерями. Изменения условий деятельности организаций выдвинули требование ориентироваться при формировании ресурсов (в том числе и человеческих) не только на текущие потребности, но и на длительные перспективы.

    На сегодняшний день практически во всех странах отказываются от принципа «перекачки рабочей силы», основанного на привлечении необходимой рабочей силы и вытеснении излишних или более не нужных в данный момент работников, вследствие растущих требований к качеству работников, их готовности брать на себя ответственность.

    Если раньше считалось, что кадровое планирование необходимо лишь в случае дефицита рабочей силы, то сегодня превалирует другое мнение: планирование необходимо и во времена безработицы, поскольку квалифицированных работников все же нелегко найти; кроме того, следует избегать социальных трудностей, часто возникающих при увольнениях.

    В 70—80-е гг. ХХ в. в практике управления стал применяться систематический анализ перспективных потребностей организаций в отдельных категориях персонала. В настоящее время все большее число компаний и фирм выделяют планирование персонала в самостоятельный вид деятельности кадровых служб. Организационно-технические изменения производства делают необходимым своевременный поиск и подготовку персонала для решения новых производственных и управленческих задач, а также снижения социальной напряженности по отношению к работникам, рабочие места которых изменяются или ликвидируются. Эти задачи нельзя решить за короткий срок. Таким образом, кадровое планирование является признаком ответственности управления организации в отношении персонала.

    В российских организациях кадровое планирование в отличие от планирования производства, сбыта, капиталовложений, еще не находит признания в полном объеме.

    Планирование персонала – это процесс определения количественной и качественной потребности организации в персонале в будущем и оценки того, в какой степени эта потребность может быть удовлетворена.

    При этом сопоставляется имеющийся персонал организации с его возможной потребностью в будущем, определяется потребность в найме, обучении, перераспределении, сокращении работников. Как подчеркивают X.T. Грэхем и Р. Беннетт, результатом такого планирования должно быть наличие нужных людей, выполняющих нужную работу на нужных местах точно в нужное время.[80]

    Планирование персонала должно определять:

    – сколько персонала и какой квалификации необходимо в будущем;

    – как привлечь необходимый и сократить излишний персонал, учитывая социальные аспекты;

    – как использовать работников в соответствии с их способностями;

    – как целенаправленно содействовать развитию персонала, приспосабливать его знания к изменяющимся требованиям;

    – каких затрат потребуют планируемые кадровые мероприятия.

    М. Армстронг трактует основные задачи планирования персонала следующим образом:

    – привлечение и сохранение необходимых работников, обладающих соответствующими навыками, опытом и компетенцией;

    – предвидение возможного излишка или дефицита работников;

    – создание хорошо подготовленного и гибкого штата, что вносит вклад в способность организации адаптироваться к неопределенной и изменяющейся окружающей среде;

    – снижение зависимости от найма работников извне, когда на рынке труда отмечаются недостаточное предложение работников с важными для организации навыками, с помощью сохранения и развития собственных работников;

    – совершенствование использования рабочей силы с помощью более гибких систем работы.[81]

    Планирование персонала должно быть интегрировано в общий процесс планирования в организации и согласовано со следующими его сферами:

    – планирование сбыта;

    – планирование снабжения (обеспечение сырьем, материалами, привлеченными услугами);

    – планирование капиталовложений на приобретение имущества долгосрочного пользования;

    – финансовое планирование;

    – организационное планирование (планирование оргструктуры и структуры разделения труда в организации).

    Только взаимосогласованность всех составных частей планирования может обеспечить единство действий по достижению целей организации.

    Планирование персонала можно представить в виде схемы (рис. 4.1).


    Рис. 4.1. Процесс планирования персонала[82]

    Ответственность за планирование персонала распределяется между службой управления персоналом и линейными менеджерами.

    Служба управления персоналом:

    1) участвует в выработке стратегии развития организации, анализирует потребности в персонале с учетом планов организации;

    2) анализирует информацию об имеющемся персонале, разрабатывает предложения относительно более эффективного использования наличных человеческих ресурсов, прогнозирует наличие персонала при различных вариантах развития организации; работает как на уровне отдельных подразделений, так и на уровне организации;

    3) анализирует макроэкономическую информацию, законодательство и информацию о рынке труда и образовательных услуг для обеспечения реалистичности планов по работе с персоналом;

    4) предлагает, согласовывает, утверждает стратегические планы по работе с персоналом и несет ответственность за их реализацию;

    5) разрабатывает формы предоставления информации, заявок, планов для облегчения взаимодействия между службой управления персоналом, линейными руководителями и высшим руководством;

    6) консультирует линейных руководителей по вопросам планирования персонала.

    Линейные руководители в сфере планирования персонала:

    1) анализируют возможности выполнения планов отдела с учетом имеющегося персонала;

    2) осуществляют собственный анализ количественного и качественного состава подчиненного персонала, своевременно представляют информацию и предложения в службу управления персоналом;

    3) вносят предложения, связанные с внедрением новых технологий или изменением технологических процессов, вышестоящему руководителю и в службу управления персоналом;

    4) участвуют в согласовании планов по работе с персоналом и их выполнении после утверждения.

    4.2. Принципы планирования персонала

    Процесс планирования персонала базируется на ряде принципов, которые необходимо учитывать в процессе его осуществления.

    Прежде всего это вовлеченность сотрудников организации в работу над планом уже на самых ранних этапах его составления.

    Другой принцип планирования персонала – непрерывность, обусловленная соответствующим характером хозяйственной деятельности организации и тем обстоятельством, что сам персонал находится в постоянном движении. При этом планирование рассматривается не как единичный акт, а как постоянно повторяющийся процесс.

    Принцип гибкости подразумевает возможность постоянного внесения коррективов в ранее принятые кадровые решения в соответствии с изменяющимися обстоятельствами. Для обеспечения гибкости в планах должна быть заложена возможность свободы маневра в определенных пределах.

    Единство и взаимосвязь деятельности отдельных частей организации требует соблюдения такого принципа планирования, как согласование планов по персоналу в форме координации и интеграции. Координация осуществляется «по горизонтали» – между подразделениями одного уровня, а интеграция – «по вертикали», между выше– и нижестоящими.

    Принцип экономичности означает, что затраты на составление плана должны быть меньше эффекта, приносимого его выполнением. Как принцип планирования можно рассматривать также создание необходимых условий для выполнения плана.

    Рассмотренные принципы являются универсальными, пригодными для различных уровней управления; в то же время на каждом уровне могут применяться и специфические принципы.

    Например, при планировании в подразделении важную роль играет принцип узкого места: общую результативность будет определять работник, обладающий самой низкой производительностью. В то же время на уровне организации этот принцип обычно не применяется, зато едва ли не важнейшим специфическим принципом здесь является научность планирования.[83]

    Несмотря на то что планирование персонала имеет много общего с другими областями планирования, в его процессе могут возникать ряд специфических проблем, обусловленных:

    – трудностью процесса планирования персонала, связанной со сложностью прогнозирования трудового поведения, возможностью возникновения конфликтов и т. д. Возможности использования персонала в будущем и будущее отношение его к работе прогнозируются с высокой степенью неопределенности. К тому же участники организации сопротивляются тому, чтобы быть «объектами» планирования, могут не соглашаться с результатами планирования и реагировать на это возникновением конфликта;

    – двойственностью системы экономических целей в кадровой политике. Если при планировании в области маркетинга, финансов цели планирования затрагивают экономические аспекты, то при планировании персонала добавляются компоненты социальной эффективности. Если в других областях можно оперировать количественными величинами, то данные при кадровом планировании во многом носят качественный характер (способности, оценка проделанной работы и др.).

    Ротуэлл выделяет следующие трудности, обусловливающие некоторый разрыв между теоретическими положениями и их практической реализацией:

    – влияние изменений и трудность прогнозирования будущего;

    – меняющиеся приоритеты стратегий в организации;

    – неверие в теорию или планирование некоторыми менеджерами, которые чаще предпочитают практическую адаптацию теоретическим моделям.[84]

    При этом Тейлор отмечает: «Может показаться, что работодатели просто предпочитают подождать, пока их суждение об окружающей среде прояснится настолько, чтобы увидеть полную картину, прежде чем проводить мобилизацию ресурсов при подготовке к приходу будущего.

    С юмором о серьезном

    Планирование и закон Паркинсона

    «Работа заполняет время, отпущенное на нее. Поскольку работа так растягивается во времени, ясно, что объем ее никак (или почти никак) не связан с числом выполняющих ее людей. Дело тем важнее и сложнее, чем больше времени на него отпущено. Все это знают, но мало изучены последствия этого правила, особенно в области административной. Политики и налогоплательщики почти никогда не сомневаются в том, что чиновничьи штаты так растут, потому что дел все больше. Истина же в том, что количество служащих и объем работы совершенно не связаны между собой. Число служащих возрастает по закону Паркинсона.

    Мы можем выделить две основные движущие силы. Для нынешних наших надобностей облечем их в форму двух почти аксиоматических положений:

    1) чиновник множит подчиненных, но не соперников;

    2) чиновники работают друг для друга.

    Чтобы освоить фактор 1, вообразим, что некий чиновник А жалуется на перегрузку. В данном случае неважно, кажется это ему или так оно и есть; заметим, однако, что ощущения А (истинные или мнимые) могут порождаться и упадком сил, неизбежным в среднем возрасте. Выхода у него три. Он может уйти; он может попросить себе в помощь чиновника В; он может попросить двух подчиненных, С и D. Как правило, А избирает третий путь. Уйдя, он утратил бы право на пенсию. Разделив работу с равным ему В, он рискует не попасть на место W, когда оно наконец освободится. Так что лучше иметь дело с двумя подчиненными.

    Они придадут ему весу, а он поделит работу между ними, причем только он один будет разбираться и в той, и в другой категории дел. Заметьте, что С и D практически неразлучны. Нельзя взять на службу одного С. Почему же? Потому что он разделил бы работу с А и стал бы равен ему, как отвергнутый В, и даже хуже, он метил бы на место А. Итак, подчиненных должно быть не меньше двух, чтобы каждый придерживал другого, боясь, как бы тот его не обскакал. Когда на перегрузку пожалуется С (а он пожалуется), А с его согласия посоветует начальству взять и ему двух помощников. Чтобы избежать внутренних трений, он посоветует взять двух и для D.

    Теперь, когда под его началом служат еще и Е, F, G, Н, продвижение А по службе практически обеспечено. Когда семеро служащих делают то, что делал один, вступает в игру фактор 2. Семеро столько работают друг для друга, что все они загружены полностью, а А занят больше, чем прежде. Любая бумага должна предстать перед каждым. Е решает, что она входит в ведение F, F набрасывает ответ и дает его С, С смело правит его и обращается к D, a D – к G. Однако G собрался в отпуск и передает дело Н, который снова пишет все начерно за подписью D и вручает бумагу С, а тот, в свою очередь, просматривает ее и кладет в новом виде на стол А. Что же делает А? Он мог бы с легким сердцем подписать не читая, так как ему есть о чем подумать. Он знает, что в будущем году он займет место W, и должен решить, С или D заменит его самого.

    Он же решит, идти ли в отпуск G – вроде бы еще рановато, и не отпустить ли лучше Н по состоянию здоровья – тот плохо выглядит, и не только из-за семейных неурядиц. Кроме того, надо оплатить F работу на конференции и отослать в министерство прошение Е о пенсии. А слышал, что D влюблен в замужнюю машинистку, a G неизвестно почему поссорился с F. Словом, А мог бы подписать не читая.

    Но не таков А. Как ни терзают его проблемы, порожденные самим существованием его коллег, совесть не позволит ему пренебречь долгом. Он внимательно читает документ, вычеркивает неудачные абзацы, привнесенные С и D, и возвращает его к тому виду, который был избран изначально разумным (хотя и склочным) F. Правит он и стиль – никто из этих юнцов языка своего толком не знает, – и в результате мы видим тот вариант, который создал бы А, если бы С, D, E, F, G и Н вообще не родились. Но вариант этот создало множество людей, и ушло на него немало времени.

    Никто не отлынивал от работы, все старались. Лишь поздно вечером А покидает свой пост, чтобы пуститься в долгий путь домой. Теперь во всех окнах его учреждения гаснет свет и тьма сгущается, знаменуя конец еще одного нелегкого трудового дня. А уходит одним из последних, сильно сутулясь, и думает с кривой улыбкой, что поздний час, как и седина, – возмездие за успех.

    (См.: Паркинсон С.Н. Законы Паркинсона: Пер. с англ. – М.: ООО «Издательство АСТ», 2002.)

    Им кажется, что чем более сложным и нестабильным является деловое окружение, тем целесообразнее занять выжидательную позицию и только потом переходить к конкретным действиям».[85]

    Распространенными ошибками при планировании персонала являются акцент на краткосрочных потребностях и отсутствие координации с долгосрочными планами организации, что концентрирует внимание лишь на проблемах и кризисах в краткосрочном периоде.

    Можно выделить следующие так называемые «ловушки», или «камни преткновения» успешного планирования:[86]

    «1) специалистам по кадровому планированию приходится работать в среде, характеризующейся неясными инструкциями, различными направлениями в политике компании, разнообразными стилями управления;

    2) планирование персонала должно поддерживаться высшим руководством;

    3) многие программы кадрового планирования терпят крах из-за чрезмерного первичного «напряжения»: успешные программы «стартуют» медленно и развиваются постепенно;

    4) необходима координация управления персоналом и управления в целом. В противном случае планирование персонала может производиться «в отрыве» от общего управления фирмой;

    5) планирование персонала обязательно должно быть интегрировано в общие планы организации. При этом важно взаимодействие между отделами планирования и кадровой службой;

    6) противопоставление количественного и качественного подходов может привести к тому, что одни рассматривают планирование персонала как некую числовую методику, для организации потока движения людей в организации. Другие фокусируют свое внимание исключительно на индивидуальном продвижении и развитии карьеры работников, т. е. на качественном подходе. Оптимальный же результат дает синтез первого и второго;

    7) кадровое планирование не является исключительно функцией отдела кадрового планирования. Успешное планирование персонала зависит от привлечения в этот процесс других менеджеров, которые непосредственно работают с людьми «на местах»;

    8) по мере того как кадровое планирование становится все более популярным, в его процесс все активнее привлекаются постоянно возникающие новые технологии, приемы и т. д. Возможно попадание в «техническую ловушку» – развитие тенденции к использованию нового не по причине необходимости, а лишь потому, что “это используют все”».

    4.3. Основные элементы планирования персонала

    4.3.1. Анализ состава персонала

    Прежде всего проводится анализ фактического соответствия качественного и количественного состава персонала стоящим перед организацией задачам и требованиям, предъявляемым к исполнителям. При этом оценка принимает вид постоянного отслеживания, а не периодических мероприятий (т. е. всегда готов ответ на вопрос: «Что есть в наличии?»).

    Основная задача качественного анализа – определение и оценка знаний и умений сотрудников к четко определенному времени планирования.

    Задача количественного анализа состава персонала – определение числа сотрудников по каждой категории персонала (например, служащий или рабочий, прошедшие обучение или неквалифицированные кадры, мужчины и женщины, молодежь и т. д.).

    Важно установить природу несоответствия между требуемым и имеющимся в наличии персоналом, поскольку этим обусловливается круг мероприятий, направленных на ликвидацию подобного несоответствия.

    4.3.2. Планирование потребности в персонале

    Основная цель – определение количественной и качественной потребности в персонале для обеспечения имеющейся в настоящий момент и будущей производительности предприятия.

    Конкретное определение потребности в персонале представляет собой расчет необходимого числа работников по их квалификации, времени, занятости и расстановке в соответствии с текущими и перспективными задачами развития предприятия. Расчет производится на основе сравнения расчетной потребности в рабочей силе и фактического состояния обеспеченности на определенную дату и представляет собой информационную основу для принятия управленческих решений в области привлечения персонала, его подготовки и переподготовки.

    Потребность в персонале подвергается влиянию внешних и внутренних по отношению к организации факторов (рис. 4.2).


    Рис. 4.2. Факторы влияния на потребность в персонале[87]

    Как отмечает Р. Марр, определение потребности в персонале может вызывать создание и усиление «конфликтных потенциалов», в тех случаях, когда:

    – определение потребности в персонале ведет к результатам, ущемляющим интересы отдельных сотрудников (например, увольнения);

    – при определении количественной потребности в персонале обнаруживается, что сотрудников либо слишком мало, либо слишком много. В первом случае возникает необходимость в сверхурочных, приводящих к перегрузкам сотрудников и вызывающих у них чувство недовольства. Во втором случае возникает угроза конфликтов с финансовыми службами, если выявляются непроизводительные затраты, вызванные неправильным определением потребности в персонале;

    – результаты определения потребности в персонале либо не доводятся до сведения сотрудников, либо не вызывают у них доверия, например на основании прошлого негативного опыта;

    – определение потребности в персонале служит инструментом создания или наращивания властных потенциалов в организации, в частности посредством выявления высокой потребности в персонале, поскольку численность сотрудников считается показателем важности соответствующего подразделения в организации. Конфликты возникают при этом в подразделениях, где считается, что их персональные ресурсы слишком малы.[88]

    В то же время безошибочное определение потребности в персонале служит предпосылкой того, что сотрудники будут находиться в распоряжении организации в соответствии с ее количественными, качественными, временными и территориальными потребностями, и устраняет, таким образом, конфликты, которые могли бы возникнуть из-за дисбалансов в вышеперечисленных областях.

    4.3.3. Планирование обеспечения персоналом

    Оно непосредственно исходит из планирования потребности в персонале и также учитывает как количественные, так и качественные аспекты. Оно подразделяется на четыре составляющих:

    – планирование набора персонала. Связано с выбором источников привлечения кандидатов (внешнего или внутреннего), а также с ознакомлением потенциальных кандидатов с предлагаемыми вакансиями при помощи средств информации (публикации, Интернет и т. д.);

    – планирование отбора. Связано с выбором инструментария отбора, а также структурированием отдельных этапов проведения отбора кандидатов на вакантные места;

    – планирование принятия на работу. Принимаются во внимание нормы трудового права и законодательства, в том числе и при заключении трудовых контрактов;

    – планирование адаптации сотрудников, т. е. мероприятий, способствующих знакомству новых сотрудников с организацией, рабочим местом и коллективом.

    4.3.4. Планирование использования персонала

    Его цель – обеспечение соответствия распределения сотрудников по рабочим местам, основой которого является соответствие квалификации требованиям данного рабочего места. Сравнение квалификационного профиля сотрудников и этих требований позволяет оценить коэффициент профессиональной пригодности сотрудников рабочему месту.

    Кроме того, при планировании использования персонала следует стремиться к обеспечению оптимальной степени удовлетворенности работников их рабочими местами, учитывая их способности, умения, мотивацию. Планирование использования персонала реализуется в разработке плана замещения штатных должностей.

    Другой областью этого элемента планирования является планирование времени сотрудников (разработка планов рабочих смен, планов по использованию непостоянной и частично задействованной рабочей силы и вспомогательных сотрудников, организация использования сотрудников при нестабильном рабочем цикле связанном, например, с сезонными изменениями в торговле). Необходимо также обращать внимание на планирование отпусков, планирование предоставления сотрудников для участия в различных образовательных программах.

    4.3.5. Планирование развития персонала

    Цель – определение будущих требований, предъявляемых к рабочим местам, и планирование мероприятий, которые способствуют профессиональному развитию сотрудников. Планирование развития персонала призвано использовать внутренние ресурсы, а не искать персонал на внешнем рынке труда. Его можно разделить на планирование образования, повышения квалификации сотрудников и планирование карьеры.

    Все мероприятия по развитию персонала должны быть направлены на упразднение дефицита в знаниях и навыках сотрудников. Многие крупные предприятия для обучения своих работников создают собственные образовательные центры, максимально приближенные к специфике деятельности фирмы. Малые и средние организации могут воспользоваться услугами внешних образовательных центров.

    4.3.6. Планирование высвобождения персонала

    Цель – установление и своевременное или опережающее уменьшение излишков персонала. Причинами высвобождения могут быть прекращение производства из-за нецелесообразности дальнейшего существования предприятия; спад производства; новое техническое развитие; изменение требований к рабочим местам; изменение организационной структуры и т. д.

    Для недопущения выплескивания на внешний рынок труда квалифицированных кадров и смягчения социальной напряженности организации могут использовать опережающее высвобождение персонала: разработка прогнозов по высвобождению персонала и планирование путей альтернативного использования сотрудников. К сожалению, данное направление деятельности по управлению персоналом не получило развития в отечественных организациях.

    При планировании высвобождения персонала прежде всего следует наметить мероприятия, при проведении которых не требуется сокращения персонала:

    1) прекращение найма на работу. Эта мера дает возможность за счет собственной убыли работников трудоустроить высвобождающихся работников;

    2) перемещения излишней рабочей силы на другие свободные места;

    3) сокращение продолжительности рабочего времени. В этом случае излишняя численность будет ликвидирована за счет того, что потребуется большее количество работников. Существует несколько вариантов такого сокращения: отмена сверхурочных, перевод части работников на неполный рабочий день и т. д.;

    4) отмена передачи заказов в другие организации, если эти заказы можно выполнить собственными силами, без потери связей, необходимых для организации;

    5) введение укороченной рабочей недели.

    Затем планируются мероприятия, направленные на сокращение сотрудников. Преимущество отдается тем мероприятиям, при которых работники покидают предприятие добровольно. При этом может происходить выплата денежных компенсаций при увольнении (на западных предприятиях до 7—10 месячных зарплат в зависимости от стажа работы и ряда других показателей); досрочный уход на пенсию; помощь работнику в подборе нового места работы и др.

    4.3.7. Планирование затрат на персонал

    Цель – установление изменений затрат на персонал внутри определенного планового периода времени. При этом производится сопоставление с предполагаемой степенью успешности предприятия, его способности выдержать подобное изменение затрат. Данный элемент планирования персонала тесно связан с планированием финансов и анализом хозяйственной деятельности.

    В индустриально развитых странах важность планирования затрат обусловлена тенденцией увеличения веса затрат на персонал в издержках предприятия, что может быть объяснено следующими факторами:

    – несбалансированность производительности рабочих и затрат на персонал;

    – использование новых технологий, требующих более квалифицированного и, соответственно, более «дорогого» персонала;

    – влияние законодательства и тарифных соглашений.

    При планировании расходов на персонал следует иметь в виду в первую очередь следующие статьи затрат: основная и дополнительная заработная плата; отчисления на социальное страхование; расходы на командировки и служебные разъезды; расходы на подготовку, переподготовку и повышение квалификации кадров; расходы, связанные с доплатами за общественное питание, с жилищно-бытовым и культурным обслуживанием, физическим воспитанием, здравоохранением и отдыхом, обеспечением детскими учреждениями, приобретением спецодежды. Следует также планировать расходы на охрану труда и окружающей среды, на создание более благоприятных условий труда (соблюдение требований психофизиологии и эргономики труда, технической эстетики), здорового психологического климата в организации, создание рабочих мест.

    Если в организации большая текучесть кадров, появляются дополнительные расходы, связанные с поиском новой рабочей силы, ее инструктажем и освоением работ. При высокой текучести кадров растут размер оплаты сверхурочных работ, уровень брака и количество простоев, повышается уровень заболеваемости, производственного травматизма, наступает ранняя инвалидность. Все это ведет к увеличению расходов на персонал, к росту себестоимости продукции и снижению ее конкурентоспособности.

    По мере развития рыночных отношений появляется необходимость учитывать новые виды затрат, связанные с участием работников в прибылях и капитале организации.

    Опыт

    Планирование как признак культуры менеджмента

    «Планирование – один из признаков высокой культуры менеджмента в компании. Работая в рекрутинговом агентстве и обсуждая с компаниями заказы на подбор персонала, я всегда спрашиваю, когда требуемый работник должен приступить к работе. И нередко получаю ответ: «Вчера!» Интересно, что в российских компаниях такое встречается гораздо чаще, чем в западных. Наличие плана подбора персонала является необходимым условием для бюджетирования деятельности кадровой службы. Один мой коллега как-то сказал: «Если бы для оценки менеджера по персоналу мне было дозволено задать ему только один вопрос, я бы спросил о бюджете возглавляемой им кадровой службы». Действительно, отсутствие такого бюджета или, напротив, его наличие, объем и структура являются важными характеристиками постановки работы с кадрами в компании».

    (Валерий Поляков, президент Кадрового объединения «Метрополис»)

    4.4. Методы планирования персонала

    При планировании потребности в персонале могут использоваться различные методы.

    Балансовый метод основывается на взаимной увязке ресурсов, которыми располагает организация, и потребностей в них в рамках планового периода. Если ресурсов по сравнению с потребностями недостаточно, то происходит поиск их дополнительных источников, позволяющих покрыть дефицит. Необходимые ресурсы можно привлекать с внутреннего или внешнего рынка труда. Алгоритм расчета фактической потребности в персонале представлен в табл. 4.1.

    Нормативный метод планирования состоит в том, что основой плановых заданий на определенный период становятся нормы затрат различных ресурсов (в нашем случае трудовых) на единицу продукции (в данном случае рабочего времени, расхода фонда заработной платы и проч.).

    Таблица 4.1Последовательность расчета потребности в персонале

    К нормам труда относятся нормы выработки, времени, обслуживания, численности. Они устанавливаются для работников в соответствии с достигнутым уровнем развития техники, технологии, организации производства и труда. В условиях коллективных форм организации и оплаты труда могут применяться укрупненные комплексные нормы. По мере проведения аттестации, рационализации рабочих мест, внедрения новой техники, технологии, осуществления организационно-технических мероприятий, обеспечивающих рост производительности труда, нормы подлежат обязательному пересмотру. Нормативный метод планирования используется как самостоятельно, так и одновременно с балансовым.

    При использовании нормативного метода исходными данными для определения требуемого количества рабочих являются производственная программа на плановый период времени; нормы времени, нормы выработки; трудоемкость производственной программы; организационно-технические мероприятия по снижению трудоемкости программы; отчетные (расчетные) данные о коэффициенте выполнения норм; баланс рабочего времени одного рабочего (табл. 4.2) и др. Баланс рабочего времени составляется для каждого структурного подразделения отдельно.

    Таблица 4.2Баланс рабочего времени одного среднесписочного рабочего за год

    При упрощенных расчетах общая потребность в персонале определяется по нормам выработки:


    Чпл = Qпл / Впл, (4.1)


    где Чпл – среднесписочная плановая численность рабочих; Qпл – планируемый объем выпуска продукции; Впл – плановая норма выработки на одного рабочего.

    Плановая численность (Чпл) рабочих-сдельщиков и рабочих повременщиков, занятых на нормируемых работах, определяется с использованием данных о трудоемкости производственной программы по формуле:


    Чпл = [Тпр / Фпл] ? Ксп, (4.2)


    где Тпр – трудоемкость производственной программы; Фпл – полезный фонд времени одного рабочего (определяется из баланса рабочего времени); Ксп – коэффициент пересчета явочной численности в списочную (в прерывных производствах определяется отношением номинального времени к явочному, в непрерывных – отношением календарного к явочному).


    Расчет численности рабочих, занятых обслуживанием оборудования, его наладкой, ремонтом и другими подсобными работами проводится по нормам обслуживания по формуле:


    Чпл = [(О ? С) / Но] ? Ксп, (4.3)


    где О – число единиц оборудования; С – количество смен; Но – норма обслуживания (сколько единиц оборудования может обслужить один рабочий).


    Пример. На предприятии имеется 1000 ед. оборудования. Норма обслуживания одного слесаря-ремонтника – 100 ед. за смену. Предприятие работает в две смены. Номинальный фонд рабочего времени – 265 дней, реальный – 230 дней. Численность слесарей-ремонтников рассчитывается следующим образом:


    Чпл = [(1000 ? 2) / 100] ? (265 / 230) = 23 чел.


    Применительно к работам, по которым не устанавливаются их объемы и нормы выработки, численность рабочих может быть определена непосредственно по рабочим местам:


    Чпл = n ? С ? Ксп, ((4.4)


    где n – число рабочих мест.


    Пример. В цехе имеется четыре крана. Каждый из них обслуживается крановщиком и двумя стропальщиками. Цех работает в две смены. Данные по фонду рабочего времени – как в предыдущей задаче. Соответственно, необходимое количество крановщиков составит:


    Чпл = 4 ? 2 ? (265 / 230) = 9 чел.;


    стропальщиков:


    Чпл = 4 ? 2 ? 2 ? (265 / 230) = 18 чел.


    Расчет по нормативам численности осуществляется, когда производственный объект или оборудование обслуживаются группой рабочих, и не предопределяется их расстановка внутри объекта. Норматив численности определяется на основе нормы обслуживания или нормы времени обслуживания по формуле:


    Нч = (Р / Но) ? Ксп, (4.5)


    где Р – объем работы; Но – норма обслуживания (в тех же единицах, что и объем работы).


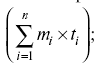
    При определении численности административно-управленческого персонала можно использовать формулу Розенкранца. Она служит для проверки соответствия фактической численности необходимой, которая задается загрузкой данного подразделения или предприятия в целом:


    где Ч – численность административно-управленческого персонала определенной профессии, специальности, подразделения и т. п.; n – количество видов организационно-управленческих работ, определяющих загрузку данной категории специалистов; mi – среднее количество определенных действий (расчетов, обработки заказов, переговоров и т. п.) в рамках i-гo организационно-управленческого вида работ за установленный промежуток времени (например за год); ti – время, необходимое для выполнения единицы m в рамках i-гo организационно-управленческого вида работ; T – рабочее время специалиста согласно трудовому договору (контракту) за соответствующий промежуток календарного времени, принятый в расчетах; Кнрв – коэффициент необходимого распределения времени; Кфрв – коэффициент фактического распределения времени; tp – время на различные работы, которые невозможно учесть в предварительных (плановых) расчетах.


    Коэффициент необходимого распределения времени (Кнрв) рассчитывается следующим образом:


    Кнрв = Кдр ? Ко ? Кп, (4.7)


    где Кдр – коэффициент, учитывающий затраты на дополнительные работы, заранее неучтенные во времени, необходимом для определенного процесса


    как правило, в пределах 1,2 ? Кдр ? 1,4; Ко – коэффициент, учитывающий затраты времени на отдых сотрудников в течение рабочего дня, как правило, устанавливается на уровне 1,12; Кп – коэффициент пересчета явочной численности в списочную.


    Коэффициент фактического распределения времени (Кфрв) определяется отношением общего фонда рабочего времени какого-либо подразделения ко времени, рассчитанному как


    Опыт

    Пример планирования

    Для определения численности персонала руководство автомобильного холдинга Major использует несколько способов. Когда открывается новый дилерский центр, формируется его штат на основе опыта иностранных автомобильных компаний. Объем обязательных работ, приходящийся на один центр в первые месяцы его развития, примерно одинаков, поэтому для каждого из них предусмотрено около 40 стандартных должностных позиций. Они распределяются по типовым подразделениям: дирекция (директор центра и 2 секретаря), салон продаж автомобилей (руководитель, администратор и 4 продавца-консультанта), отдел продаж запчастей (менеджер и три продавца), сервисная служба (5 главных менеджеров и 12 механиков), склад (руководитель и 2 сотрудника) и проч.

    Со временем число клиентов дилерского центра растет (когда и как оно увеличится, в компании приблизительно знают исходя из собственных исследований рынка), поэтому типовой штат нуждается в пополнении. Например, чтобы определить, сколько нужно нанять дополнительных технических сотрудников, в Major используется показатель нормы выработки, который указывает, за какое время один сотрудник должен выполнить определенный объем работы. База нормы выработки составляется исследовательскими подразделениями поставщиков – автомобильных компаний. Например, согласно этим нормам, механик в дилерском центре Nissan должен успеть заменить воздушный фильтр за 0,2 ч, масло двигателя – за 0,4 ч, а передние колодки – за 0,6 ч. Сравнивая эти показатели с прогнозируемым объемом заказов, делается вывод, справится ли с ним штат службы или нужны дополнительные механики.

    В компании Major проводится также и функциональный анализ, чтобы выяснить, не появляются ли у сотрудников со временем новые задачи, которые их отвлекают от выполнения основных. Например, резко выросли продажи автомобилей в кредит. Все вопросы, связанные с оформлением документов по таким покупкам, решали продавцы-консультанты. Вскоре выяснилось, что из-за работы с бумагами у них остается меньше времени на то, чтобы выполнять свою основную функцию – общаться с клиентами и продавать машины. Чтобы разгрузить продавцов, во всех дилерских центрах ввели новую должность – кредитного менеджера.

    ((По материалам журнала «Секрет фирмы»))

    К математико-статистическим можно отнести следующие методы планирования потребности в персонале.

    Метод экстраполяции – перенесение сегодняшней ситуации (пропорций) в будущее. Привлекательность этого метода состоит в его общедоступности; ограниченность – в невозможности учесть изменения в развитии организации и внешней среды. Поэтому метод подходит для краткосрочного планирования и для организаций со стабильной структурой, действующих в стабильной окружающей среде. Многие организации пользуются методом скорректированной экстраполяции, который учитывает изменения в соотношении факторов, определяющих численность сотрудников – повышение производительности труда, повышение цен и т. д.

    Метод регрессионного анализа – установление зависимости между численностью персонала и влияющими на нее факторами. При линейной регрессии (т. е. Y = а + bХ) прогнозы основываются на корреляции между уровнем занятости и таким бизнес-критерием, как объем продаж. Поскольку ни один фактор не может полностью отразить потребность в персонале, такие прогнозы имеют мало шансов оказаться точными, за исключением, быть может, использование его в небольших фирмах, находящихся в очень стабильной окружающей обстановке. Соответственно для расчета состояния спроса в будущем может понадобиться ввод расширенного множества факторов, что приведет к множественному регрессионному анализу (т. е. Y = b0 + b1x1 + b2x2 + b3x3 + b4x4 +…). Коэффициенты b рассчитываются так, чтобы отделить направление и величину воздействия, которое оказывает на спрос на человеческие ресурсы каждая переменная. После этого полученные оценки независимых переменных вводятся в уравнение для расчета потребности в персонале.

    Методы линейного программирования позволяют путем решения системы уравнений и неравенств, связывающих ряд переменных показателей, определять их оптимальные величины во взаимном сочетании. Это помогает по заданному критерию выбрать наиболее подходящий вариант функционирования или развития объекта управления, например распределения работников, позволяющего, с одной стороны, наиболее полно обслужить всех клиентов, а с другой стороны, сделать это при минимальных затратах и т. д. Однако возможности применения этого метода в сфере кадрового планирования ограничены.

    Метод экспертных оценок основан на использовании мнений специалистов для определения потребностей в персонале. Такими специалистами в организации являются, прежде всего, руководители подразделений. Служба управления персоналом занимается сбором и обработкой оценок. В зависимости от размеров организации и числа линейных руководителей для этого могут использоваться различные методы – групповое обсуждение, письменный обзор (когда каждому руководителю предлагается ответить на подготовленный службой управления персоналом вопросник), метод Дельфи – письменный диалог между службой персонала и группой экспертов. Кадровая служба разрабатывает вопросник относительно потребностей в персонале и направляет его экспертам, затем обрабатывает их ответы и возвращает обобщенные результаты экспертам вместе с вопросами. Эта процедура повторяется до тех пор, пока эксперты не достигнут соглашения в отношении потребностей в рабочей силе.

    Преимущество метода экспертных оценок – участие линейных руководителей, знания и опыт которых придают плану дополнительную весомость в глазах высшего руководства. Недостатки метода – трудоемкость процесса сбора и обработки мнений экспертов, а также субъективность их суждений.

    В целях оптимизации численности персонала также может использоваться метод бенчмаркинга.[89] Для этого компании используют открытые или коммерческие информационные источники. При этом в качестве «образца для подражания» могут использоваться прямые конкуренты или отдельные подразделения успешно работающих фирм. Однако этот метод дает лишь приблизительные ориентиры. Кроме того, в большинстве случаев прямое копирование не является корректным и приходится использовать ряд дополнительных показателей (издержки на одного сотрудника; соотношение численности персонала и объема выполняемых работ; доля товарооборота или прибыли компании, приходящаяся на одного сотрудника).

    Задачи по планированию потребности в персонале

    Задача 1. На основе исходных данных рассчитать численность необходимого персонала по нормам обслуживания.


    Количество агрегатов – 8.

    Режим работы агрегатов – 2 смены.

    Количество агрегатов, работающих в 1-ю смену – 8.

    Количество агрегатов, работающих во 2-ю смену – 4.

    Полезный фонд времени 1 работника за смену – 7 ч.

    Время на дополнительное обслуживание агрегата за смену – 1,4 ч.

    Коэффициент пересчета явочной численности в списочную – 1,15.


    Задача 2. На основе имеющихся данных рассчитать численность производственного персонала для каждого вида работ по трудоемкости.


    Задача 3. Планом развития фирмы в прогнозируемом периоде (следующий год) повышение объема производства продукции предусмотрено только за счет роста производительности труда, без увеличения численности.

    Из анализа показателей установлено, что 40 % работников, достигающих пенсионного возраста, остаются работать на фирме.

    Доля работников, для которых пенсионный возраст наступит в плановом периоде, – 6 % от общей численности персонала.

    Доля убыли работников в связи с инвалидностью и смертностью составляет 3 % от общей численности персонала.

    Численность уволенных в ряды вооруженных сил ожидается в районе 60 человек, в связи с направлением на учебу – 40 человек.

    Доля увольнений в связи с естественной убылью, уходом на учебу, призывом в армию составляет примерно 60 % планируемой убыли.

    Коэффициент текучести персонала предполагается снизить в плановом периоде с 14 до 10 %.

    Вновь привлекаемый персонал после службы в армии составляет 10 % от численности работников, уволенных в вооруженные силы.


    Задание: определить общую численность персонала компании и численность работников, которых необходимо привлечь из внешних источников.

    Вопросы и задания для самопроверки

    1. Назовите основные задачи и принципы планирования персонала.

    2. Как распределяется ответственность за планирование персонала между кадровой службой и линейными менеджерами?

    3. Дайте характеристику основным элементам планирования персонала.

    4. Какие факторы влияют на потребность организации в персонале?

    5. Дайте характеристику основным методам планирования потребности в персонале.

    6. Решите задачи по планированию потребности в персонале.