• 10.1. Спирты. Простые эфиры. Фенолы
  • 10.2. Альдегиды и кетоны
  • 10.3. Карбоновые кислоты. Сложные эфиры. Жиры
  • 10.4. Углеводы
  • 10. Кислородсодержащие органические соединения

    10.1. Спирты. Простые эфиры. Фенолы

    Спирты – производные углеводородов, содержащие функциональную группу ОН (гидроксил). Спирты, в которых имеется одна группа ОН, называются одноатомными, а спирты с несколькими группами ОН — многоатомными.

    Названия некоторых распространенных спиртов приведены в табл. 9.

    По строению различают спирты первичные, вторичные и третичные, в зависимости от того, при каком атоме углерода (первичном, вторичном или третичном) находится группа ОН:



    Одноатомные спирты – бесцветные жидкости (до Cl2Н25ОН), растворимые в воде. Простейший спирт — метанол СН3ОН чрезвычайно ядовит. С увеличением молярной массы температура кипения спиртов повышается.



    Молекулы жидких одноатомных спиртов ROH ассоциированы за счет водородных связей:



    (эти связи аналогичны водородным связям в чистой воде).

    При растворении в воде молекулы ROH образуют водородные связи с молекулами воды:



    Водные растворы спиртов ROH имеют нейтральную среду; другими словами, спирты практически не диссоциируют в водном растворе ни по кислотному, ни по основному типу.

    Химические свойства одноатомных спиртов обусловлены присутствием в них функциональной группы ОН.

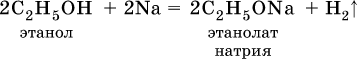
    Водород группы ОН в спиртах может замещаться на металл:



    Этанолаты и производные других спиртов (алкоголяты) легко гидролизуются:



    Группу ОН в спиртах можно заместить на Cl или Br:



    При действии на спирты водоотнимающих средств, например концентрированной H2SO4, происходит межмолекулярная дегидратация:



    Продукт реакции — диэтиловый эфир2Н5)2O – относится к классу простых эфиров.

    В более жестких условиях дегидратация становится внутримолекулярной и образуется соответствующий алкен:



    Многоатомные спирты рассмотрим на примере простейших представителей двух– и трехатомных спиртов:



    При комнатной температуре они – бесцветные вязкие жидкости с температурами кипения 198 и 290 °C соответственно, неограниченно смешиваются с водой. Этиленгликоль ядовит.

    Химические свойства многоатомных спиртов подобны свойствам спиртов ROH. Так, в этиленгликоле одну или две группы ОН можно заместить на галоген:



    Кислотные свойства многоатомных спиртов проявляются в том, что (в отличие от одноатомных спиртов) водород группы ОН замещается на металл под действием не только металлов, но и гидроксидов металлов:

    а)


    б)


    (стрелками в формуле гликолята меди показано образование ковалентных связей медь – кислород по донорно-акцепторному механизму).

    Аналогично реагирует с гидроксидом меди (II) глицерин:



    Гликолят и глицерат меди (II), имеющие ярко-синюю окраску, позволяют качественно обнаруживать многоатомные спирты.

    Получение одноатомных спиртов в промышленности – гидратация алкенов в присутствии катализаторов (H2SO4, Al2O3), причем присоединение воды к несимметричным алкенам происходит по правилу Марковникова:



    (способ получения вторичного спирта), или присоединение к алкенам СО и Н2 в присутствии кобальтового катализатора (процесс называется гидрофоржилирование):



    (способ получения первичного спирта).

    В лаборатории (а иногда и в промышленности) спирты получают взаимодействием галогенпроизводных углеводородов с водой или водным раствором щелочи при нагревании:



    Этанол С2Н5ОН образуется также при спиртовом брожении сахаристых веществ, например глюкозы:



    Этиленгликоль получают в двухстадийном процессе:

    а) окисление этилена:



    б) гидратация этиленоксида:



    Глицерин ранее получали омылением жиров (см. 20.3), современный трехстадийный способ – постепенное окисление пропена (приведена только схема процесса):



    Спирты используют как сырье в органическом синтезе, в качестве растворителей (для лаков, красок и т. п.), а также в бумажной, полиграфической, парфюмерной, фармакологической и пищевой промышленности.

    Простые эфиры – класс органических соединений, содержащих мостиковый атом кислорода – О– между двумя углеводородными радикалами: R – О—R'. Самый известный и широко применяемый простой эфир – диэтиловый эфир С2Н5—О – С2Н5. Бесцветная, легкоподвижная жидкость с характерным («эфирным») запахом, в лабораторной практике его называют просто эфиром. Почти не смешивается с водой, tкип = 34,51 °C. Пар эфира воспламеняется на воздухе. Получают диэтиловый эфир при межмолекулярной дегидратации этанола (см. выше), основное применение – растворитель.

    Фенолы – это спирты, в которых группа ОН непосредственно связана с бензольным кольцом. Простейший представитель — фенол С6Н5—ОН. Белые (розовеющие на свету) кристаллы с сильным запахом, tпл = 41 °C. Вызывает ожоги кожи, ядовит.

    Для фенола характерна значительно большая кислотность, чем для ациклических спиртов. Вследствие этого фенол в водном растворе легко реагирует с гидроксидом натрия:



    Отсюда тривиальное название фенола — карболовая кислота.

    Отметим, что группа ОН в феноле никогда не замещается ни на какие другие группы или атомы, но делает более подвижными атомы водорода бензольного кольца. Так, фенол легко реагирует с бромом в воде и азотной кислотой, образуя соответственно 2,4,6-трибромфенол (I) и 2,4,6-тринитрофенол (II, традиционное название — пикриновая кислота):



    Фенол в промышленности получают нагреванием хлорбензола с раствором гидроксида натрия под давлением при 250 °C:



    Фенол применяют в качестве сырья для производства пластмасс и смол, полупродуктов для лакокрасочной и фармацевтической промышленности, как дезинфицирующее средство.

    10.2. Альдегиды и кетоны

    Альдегиды и кетоны – это производные углеводородов, содержащие функциональную карбонильную группу СО. В альдегидах карбонильная группа связана с атомом водорода и одним радикалом, а в кетонах с двумя радикалами.

    Общие формулы:



    Названия распространенных веществ этих классов приведены в табл. 10.

    Метаналь – бесцветный газ с резким удушающим запахом, хорошо растворим в воде (традиционное название 40 %-ного раствора— формалин), ядовит. Последующие члены гомологического ряда альдегидов – жидкости и твердые вещества.

    Простейший кетон – пропанон-2, более известный под названием ацетон, при комнатной температуре – бесцветная жидкость с фруктовым запахом, tкип = 56,24 °C. Хорошо смешивается с водой.

    Химические свойства альдегидов и кетонов обусловлены присутствием в них карбонильной группы СО; они легко вступают в реакции присоединения, окисления и конденсации.



    В результате присоединения водорода к альдегидам образуются первичные спирты:



    При восстановлении водородом кетонов образуются вторичные спирты:



    Реакция присоединения гидросульфита натрия используется для выделения и очистки альдегидов, так как продукт реакции малорастворим в воде:



    (действием разбавленных кислот такие продукты превращаются в альдегиды).

    Окисление альдегидов проходит легко под действием кислорода воздуха (продукты – соответствующие карбоновые кислоты). Кетоны сравнительно устойчивы к окислению.

    Альдегиды способны участвовать в реакциях конденсации. Так, конденсация формальдегида с фенолом протекает в две стадии. Вначале образуется промежуточный продукт, являющийся фенолом и спиртом одновременно:



    Затем промежуточный продукт реагирует с другой молекулой фенола, и в результате получается продукт поликонденсации фенолформальдегидная смола:



    Качественная реакция на альдегидную группу – реакция «серебряного зеркала», т. е. окисление группы С(Н)O с помощью оксида серебра (I) в присутствии гидрата аммиака:



    Аналогично протекает реакция с Cu(ОН)2, при нагревании появляется красный осадок оксида меди (I) Cu2O.

    Получение: общий способ для альдегидов и кетонов – дегидрирование (окисление) спиртов. При дегидрировании первичных спиртов получают альдегиды, а при дегидрировании вторичных спиртов – кетоны. Обычно дегидрирование протекает при нагревании (300 °C) над мелкораздробленной медью:



    При окислении первичных спиртов сильными окислителями (перманганат калия, дихромат калия в кислотной среде) процесс трудно остановить на стадии получения альдегидов; альдегиды легко окисляются до соответствующих кислот:



    Более подходящим окислителем является оксид меди (II):



    Ацетальдегид в промышленности получают по реакции Кучерова (см. 19.3).

    Наибольшее применение из альдегидов имеют метаналь и этаналь. Метаналь используют для производства пластмасс (фенопластов), взрывчатых веществ, лаков, красок, лекарств. Этаналь – важнейший полупродукт при синтезе уксусной кислоты и бутадиена (производство синтетического каучука). Простейший кетон – ацетон используют в качестве растворителя различных лаков, ацетатов целлюлозы, в производстве кинофотопленки и взрывчатых веществ.

    10.3. Карбоновые кислоты. Сложные эфиры. Жиры

    Карбоновые кислоты – это производные углеводородов, содержащие функциональную группу СООН (карбоксил).

    Формулы и названия некоторых распространенных карбоновых кислот приведены в табл. 11.

    Традиционные названия кислот НСООН (муравьиная), СН3СООН (уксусная), С6Н5СООН (бензойная) и (СООН)2 (щавелевая) рекомендуется использовать вместо их систематических названий.

    Формулы и названия кислотных остатков приведены в табл. 12.

    Для составления названий солей этих карбоновых кислот (а также их сложных эфиров, см. ниже) обычно используются традиционные названия, например:





    Низшие карбоновые кислоты – бесцветные жидкости с резким запахом. При увеличении молярной массы температура кипения возрастает.

    Карбоновые кислоты обнаружены в природе:



    Простейшие карбоновые кислоты растворимы в воде, обратимо диссоциируют в водном растворе с образованием катионов водорода:



    и проявляют общие свойства кислот:



    Важное практическое значение имеет взаимодействие карбоновых кислот со спиртами (подробнее см. ниже):



    Отметим, что кислота НСООН вступает в реакцию «серебряного зеркала» как альдегиды:



    и разлагается под действием водоотнимающих реактивов:



    Получение:

    • окисление альдегидов:



    • окисление углеводородов:

    а)

    б)

    Кроме того, муравьиную кислоту получают по схеме:



    а уксусную кислоту – по реакции:



    Применяют муравьиную кислоту как протраву при крашении шерсти, консервант фруктовых соков, отбеливатель, дезинфекционный препарат. Уксусную кислоту используют как сырье в промышленном синтезе красителей, медикаментов, ацетатного волокна, негорючей кинопленки, органического стекла. Натриевые и калиевые соли высших карбоновых кислот – основные компоненты мыла.

    Сложные эфиры – продукты обменного взаимодействия карбоновых кислот со спиртами. Это взаимодействие называется реакцией этерификации:



    Механизм реакции этерификации был установлен при использовании спирта, меченного изотопом 18O; этот кислород после реакции оказался в составе эфира (а не воды):



    Следовательно, в отличие от реакции нейтрализации неорганической кислоты щелочью (Н+ + ОН- = Н2O), в реакции этерификации карбоновая кислота всегда отдает группу ОН, спирт – атом Н (образуется вода). Реакция этерификации обратима; она лучше протекает в кислотной среде, обратная реакция (гидролиз, омыление) – в щелочной среде.

    Формулы и названия распространенных сложных эфиров приведены в табл. 13.



    Среди сложных эфиров есть бесцветные низкокипящие горючие жидкости с фруктовым запахом, например:



    Используются сложные эфиры как растворители для лаков, красок и нитратов целлюлозы, носители фруктовых ароматов в пищевой промышленности.

    Сложные эфиры трехатомного спирта – глицерина и высших карбоновых кислот (в общем виде RCOOH), например с формулами и названиями:



    носят названия жиров. Примером жира будет смешанный сложный эфир глицерина и этих кислот:



    Чем выше содержание остатков олеиновой кислоты (или других ненасыщенных кислот), тем ниже температура плавления жира. Жидкие при комнатной температуре жиры называются маслами. Путем гидрогенизации, т. е. присоединения водорода по двойной связи, масла превращают в твердые жиры (например, растительное масло – в маргарин). Реакция этерификации (образования жира) обратима:



    Прямая реакция лучше идет в кислотной среде, обратная реакция – гидролиз, или омыление, жира – в щелочной среде; при пищеварении жир омыляется (расщепляется) с помощью ферментов.

    10.4. Углеводы

    Углеводы (сахара) – важнейшие природные соединения, состоящие из углерода, водорода и кислорода. Углеводы подразделяются на моносахариды, дисахариды и полисахариды. Моносахариды не подвергаются гидролизу, а остальные углеводы при кипячении в присутствии кислот расщепляются до моносахаридов.

    Моносахариды (и все другие углеводы) относятся к полифункциональным соединениям. В молекуле моносахарида имеются функциональные группы разных типов: группы ОН (спиртовая функция) и группы СО (альдегидная или кетонная функция). Поэтому различают альдозы (альдегидоспирты, спиртоальдегиды) и кетозы (кетоноспирты, спиртокетоны).

    Важнейший представитель альдоз — глюкоза:



    а представитель кетоз — фруктоза:



    Глюкоза (виноградный сахар) и фруктоза (фруктовый сахар) являются структурными изомерами, их молекулярная формула С6Н12O6.

    Глюкозу можно отличить от фруктозы так же, как любой альдегид от кетона, – по реакции «серебряного зеркала» в аммиачном растворе Ag2O:



    Этерификация глюкозы и фруктозы (например, уксусной кислотой) приводит к образованию сложных эфиров по всем пяти группам ОН (заменяются на ОСОСН3).

    Однако не все реакции, характерные для альдегидов, протекают с глюкозой; например, не идет реакция присоединения с участием гидросульфита натрия. Причина в том, что молекула глюкозы может существовать в трех изомерных формах, из которых две формы (? и ?) – циклические. В растворе все три формы находятся в состоянии равновесия, причем открытая (альдегидная) форма, приведенная выше, содержится в наименьшем количестве:



    Циклические формы глюкозы не содержат альдегидной группы. Они отличаются друг от друга только пространственным расположением атома Н и группы ОН у атома углерода C1 (рядом с кислородом в цикле):



    Дисахариды образуются из двух молекул моносахаридов путем межмолекулярной дегидратации. Так, сахароза (обычный сахар) C12Н22О11 является продуктом соединения остатков глюкозы и фруктозы за счет отщепления воды:



    При гидролизе в кислотной среде сахароза вновь переходит в моносахариды:



    Получившаяся смесь — инвертный сахар – содержится в мёде. При 200 °C сахароза, теряя воду, превращается в бурую массу (карамель).

    Полисахариды – крахмал и целлюлоза (клетчатка) – продукты поликонденсации (межмолекулярной дегидратации) соответственно ?– и ?-форм глюкозы, их общая формула (С6Н10О5)n. Степень полимеризации крахмала составляет 1000–6000, а целлюлозы 10 000—14 000. Целлюлоза – наиболее распространенное в природе органическое вещество (в древесине массовая доля целлюлозы доходит до 75 %). Крахмал (легче) и целлюлоза (труднее) подвергаются гидролизу (условия: H2SO4 или НCl, > 100 °C); конечный продукт – глюкоза.

    Большое практическое значение имеют сложные эфиры целлюлозы с уксусной кислотой:



    Их используют в производстве искусственного ацетатного волокна и кинофотопленок.

    Примеры заданий частей А, В

    1—2. Для соединения с формулой

    1.

    2.

    правильное название – это

    1) 2-метилпропанол-2

    2) 2,2-диметилэтанол

    3) пропилэтиловый эфир

    4) этилпропиловый эфир


    3—4. Для соединения с формулой

    3.

    4.

    правильное название – это

    1) 1,1-диметилпропановая кислота

    2) 3-метилбутановая кислота

    3) 2-метилпропаналь

    4) диметилэтаналь


    5. Правильное название вещества CH3COOCH2CH3 – это

    1) метилацетат

    2) этилацетат

    3) метилформиат

    4) этилформиат


    6. Водородные связи образуются между молекулами соединений

    1) водаx

    2) этанол

    3) уксусная кислота

    4) ацетальдегид


    7. Для состава С4Н8O2 названия структурных изомеров из класса сложных эфиров – это

    1) пропилформиат

    2) диэтиловый эфир

    3) этилацетат

    4) метилпропионат


    8—11. Формула соединения с названием

    8. сахароза

    9. крахмал

    10. фруктоза

    11. клетчатка

    отвечает составу

    1) С6Н12O6

    2) (С6Н10О5)n

    3) Cl2Н22Оn

    4) (СН2O)n


    12. Для предельных одноатомных спиртов характерные реакции – это

    1) гидролиз

    2) гидратация

    3) этерификация

    4) дегидратация


    13. Молекула конечного продукта реакции между фенолом и бромом в воде содержит общее число атомов всех элементов, равное

    1) 10

    2) 11

    3) 12

    4) 13


    14—17. В уравнении реакции

    14. окисления этанола оксидом меди (II)

    15. бромирования фенола

    16. межмолекулярной дегидратации этанола

    17. нитрования фенола

    сумма коэффициентов равна

    1) 4

    2) 5

    3) 7

    4) 8


    18. В реакции этерификации группа ОН отщепляется от молекулы

    1) спирта

    2) альдегида

    3) кетона

    4) кислоты


    19. С помощью хлорофилла в зеленом растении образуются

    1) кислород

    2) вода

    3) глюкоза

    4) этанол


    20—21. Химические свойства глюкозы, характерные для

    20. спиртов

    21. альдегидов

    проявляются в реакции

    1) спиртового брожения

    2) «серебряного зеркала»

    3) этерификации

    4) нейтрализации


    22—24. При нагревании с водой в присутствии H2SO4 углевода

    22. крахмал

    23. целлюлоза

    24. сахароза

    после окончания гидролиза получают

    1) этанол

    2) фруктозу

    3) глюконовую кислоту

    4) глюкозу


    25. Способы получения этанола – это

    1) гидратация этена

    2) брожение глюкозы

    3) восстановление этаналя

    4) окисление этаналя


    26. Способы получения этиленгликоля – это

    1) окисление этена

    2) гидратация этена

    3) действие щелочи на 1,2-С2Н4Cl2

    4) гидратация этина


    27. Способы получения муравьиной кислоты – это

    1) окисление метана

    2) окисление фенола

    3) окисление метанола

    4) реакция СН3ОН с СО


    28. Для синтеза уксусной кислоты используют соединения

    1) С2Н5ОН

    2) С4Н10

    3) C2H5NO2

    4) СН3ОН


    29. Метанол применяется в производстве

    1) пластмасс

    2) каучуков

    3) бензинов

    4) жиров и масел


    30. Для распознавания фенола (в смеси с бутанолом-1) используют

    1) индикатор и раствор щелочи

    2) бромную воду

    3) гидроксид меди (II)

    4) аммиачный раствор оксида серебра (I)


    31. Для распознавания в своих растворах глицерина, уксусной кислоты, ацетальдегида и глюкозы подходит один и тот же реактив

    1) NaOH

    2) Cu(OH)2

    3) H2SO4 (конц.)

    4) Ag2O (в р-ре NH3)


    32. Органическое вещество – продукт гидратации ацетилена, которое вступает в реакцию «серебряного зеркала», а при восстановлении образует этанол, – это

    1) ацетальдегид

    2) уксусная кислота

    3) пропан

    4) ацетон


    33. Продукты А, Б, и В в схеме реакций СO2 + Н2O > фотосинтез А > брожение – СO2 Б > HCOOH B

    – это соответственно

    1) этанол

    2) глюкоза

    3) пропановая кислота

    4) этилформиат


    34. Фенол будет участвовать в процессах:

    1) дегидратации

    2) бромирования

    3) изомеризации

    4) нейтрализации

    5) нитрования

    6) «серебряного зеркала»


    35. Возможно протекание реакций:

    1) твердый жир + водород >…

    2) муравьиная кислота + формальдегид >…

    3) метанол + оксид меди (II) >…

    4) сахароза + вода (в конц. H2SO4) >…

    5) метаналь + Ag2O (в р-ре NH3) >…

    6) этиленгликоль + NaOH (р-р) >…


    36. Для промышленного синтеза фенолформальдегидной смолы следует взять набор реагентов

    1) С6Н6, НС(Н)O

    2) С6Н6, СН3С(Н)O

    3) С6Н5ОН, НС(Н)O

    4) С6Н5ОН, СН3С(Н)O